11 年
手机商铺
公司新闻/正文
7389 人阅读发布时间:2020-03-24 16:20
关于外泌体
外泌体(Exosome)是细胞主动分泌的囊泡样小体,大小均一,直径30-200nm,密度1.10-1.18g/ml,来源广泛,几乎所有细胞都可分泌,在血液,尿液,唾液,脑脊液,腹水,乳汁等体液中广泛分布。
外泌体最早在1986年发现于培养的绵羊红细胞上清液中。1996年,研究者发现外泌体作为抗原呈递因子参与T细胞依赖的抗肿瘤反应,开启了外泌体蛋白研究的新天地。2013年诺贝尔生物/医学奖解答了细胞如何组织其内部最重要的运输系统之一——囊泡传输系统的奥秘。

外泌体是细胞间进行物质运输和信息交流的重要工具,可以通过调节免疫功能促进肿瘤的增殖,血管新生和肿瘤转移。与病毒感染,帮助病毒逃避免疫关系很大,并与心血管疾病,老年痴呆等疾病具有密切关系。
外泌体可通过流式、WB(检测指标有CD9,CD63,CD81)、电镜观察、NTA粒径追踪等手段检测,广泛应用于药物载体、疾病诊断marker、精准医疗、肿瘤治疗等方面研究。
由于外泌体直径小,样本含量低,提取十分困难。已有的外泌体分离方式有密度梯度离心、超滤离心法、免疫磁珠抗体捕获、商用试剂盒等。但到目前为止,仍没有一种提取方法能同时保证外泌体的含量、纯度以及生物活性。
外泌体分离常用方法
密度梯度离心法:在超速离心力作用下,使蔗糖溶液形成从低到高连续分布的密度阶层,通过密度梯度离心,富集外泌体。此法获得的外泌体纯度较高,但步骤繁琐,耗时。

超滤离心法:利用不同截留相对分子质量(MWCO)的超滤膜对样品进行选择性分离,比较粗糙的富集外泌体。

磁珠免疫法:外泌体表面有其特异性标记物(如 CD63、 CD9 蛋白),用包被抗标记物抗体的磁珠与外泌体囊泡孵育后结合,吸附外泌体。具有特异性高、操作简便、不影响外泌体形态完整等优点,但是效率低,外泌体生物活性易受 pH 和盐浓度影响,不利于下游实验,难以广泛普及。

商用试剂盒:市场上已出现各种商业化的外泌体提取试剂盒,各有优缺。以下列举Invent公司生产的两款商用试剂盒,操作简单,利用沉淀法得率高,快速富集外泌体。
MinuteTM 外泌体沉淀试剂
(EI-027)

※适用样本类型:
血清,血浆,腹水,细胞培养基,尿液,脊髓液,细胞培养基
※特点:
使用非PEG配方聚集沉淀,无需超高速离心,无需自配溶液,适用于多类型样品,高效富集外泌体,成本低。
Minute TM 唾液外泌体分离试剂盒
(SE-030)

※样本类型:唾液
※特点:
唾液样品无需预处理,利用离心管柱技术,使用非PEG配方,无需超高速离心,小样品量:最低100ul即可快速获得外泌体。
(以下数据由上海华盈生物医药科技有限公司提供,特此鸣谢!)
唾液样品分别使用Invent EI-027和SE-030进行外泌体提取,并与其他方法进行比较。但因涉及其他公司商业机密,仅展示与Invent产品相关部分。(各项指标表明Invent外泌体提取试剂高效,比其他方法效果更好)
NTA检测情况

WB检测

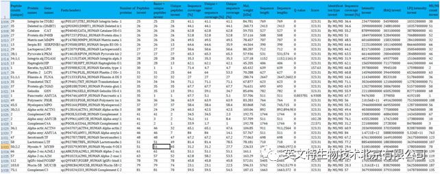
质谱检测情况:检测到1037个蛋白

使用文献参考:
EI-027 外泌体沉淀试剂
1. Haihong Bai, Yiting Pan, Lu Qi, Long Liu, Xinyuan Zhao, Hangyan Dong, Xiaoqiang Cheng,Weijie Qin,., Xinghe Wang(2018)..Development a hydrazide-functionalized thermosensitive polymer based homogeneous system for highly
efficient N-glycoprotein/glycopeptide enrichment from human plasma exosome.Talanta 186 (2018) 513-520 https://doi.org/10.1016/j.talanta.2018.04.098.
2. fangyuan gao etal (2018).A novel strategy for facile serum exosome isolation based on specific interactions between phospholipid bilayers and TiO2.Chem. Sci., DOI: 10.1039/C8SC04197K.
3. Tan, Y., Nie, W., Chen, C., He, X., Xu, Y., Ma, X., ... & Wang, W. (2019). Mesenchymal stem cells alleviate hypoxia-
induced oxidative stress and enhance the pro-survival pathways in porcine islets. Experimental Biology and Medicine,1535370219844472.DOI: 10.1177/1535370219844472
SE-030 唾液外泌体分离试剂盒
1. Kyung-A Hyun , Hogyeong Gwak, Jaehun Lee, Bongseop Kwak , OrcID and Hyo-Il Jung(2018). Salivary Exosome and Cell-Free DNA for Cancer Detection.Micromachines 2018, 9(7), 340; doi.org/10.3390/mi9070340.
2. Jia, Y., Wang, C., Sun, H., & Ni, Z. (2019). Microfluidic Approaches Toward the Isolation and Detection of Exosome Nanovesicles. IEEE Access.DOI:10.1109/ACCESS.2019.2907123